• Home
  • অসম
  • মুখ্যমন্ত্ৰী হিমন্ত বিশ্ব শৰ্মাৰ বিৰুদ্ধে এজাহাৰ দাখিল কুংকিৰ মাতৃৰ
Image

মুখ্যমন্ত্ৰী হিমন্ত বিশ্ব শৰ্মাৰ বিৰুদ্ধে এজাহাৰ দাখিল কুংকিৰ মাতৃৰ

মুখ্যমন্ত্ৰী হিমন্ত বিশ্ব শৰ্মাৰ বিৰুদ্ধে এজাহাৰ দাখিল কুংকিৰ মাতৃৰ

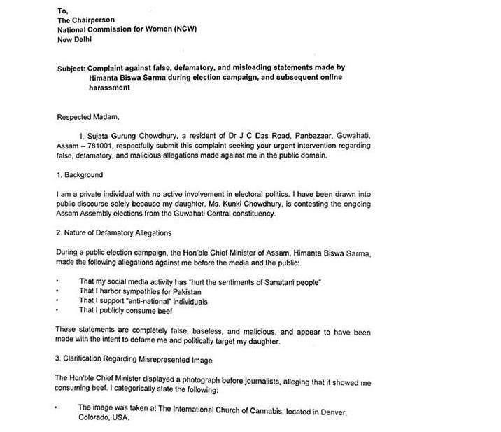
মুখ্যমন্ত্ৰীৰ বিৰুদ্ধে ৰাষ্ট্ৰীয় মহিলা আয়োগত গোচৰ কুংকিৰ মাতৃ সুজাতা গুৰুং চৌধুৰীৰ

কুংকি চৌধুৰীৰ মাতৃৰ বিৰুদ্ধে কৰা বিৰূপ মন্তব্যৰ বাবে দাখিল এজাহাৰ

মুখ্যমন্ত্ৰীয়ে উত্থাপন কৰা অভিযোগ ভুৱা, ভিত্তিহীন আখ্যা সুজাতা গুৰুং চৌধুৰীৰ

কুংকিক ৰাজনৈতিক ভাৱে টাৰ্গেট কৰিবলৈ কুৎসা ৰচনা কৰা বুলি উল্লেখ এজাহাৰত

সংবাদ মাধ্যমৰ সন্মুখত মুখ্যমন্ত্ৰীয়ে দেখুওৱা ফটোখন গো-মাংস নহয়

বৰঞ্চ ফটো মাৰিবলৈ ব্যৱহাৰ কৰা এক সামগ্ৰীহে বুলি উল্লেখ

Releated Posts

কাইলৈ গৰু বিহু

কাইলৈ গৰু বিহু বিভিন্ন প্ৰান্তৰ বজাৰত উভৈনদী দীঘলতি-মাখিয়তি গৰুক নোৱাই-ধুৱাই ন-পঘাৰে বান্ধি পৰম্পৰা ৰক্ষাৰ বাবে চহা অসমীয়াৰ মাজত…

ByByMahesh Malakar Apr 13, 2026

নিশা স্বামীহাৰা মহিলাক ফোন কৰি অৰুণোদয়, উদ্যমিতা কৰ্তনৰ ভাবুকি বিজেপি নেতাৰ

নিশা স্বামীহাৰা মহিলাক ফোন কৰি অৰুণোদয়, উদ্যমিতা কৰ্তনৰ ভাবুকি বিজেপি নেতাৰ বিজেপি কাৰ্যালয়ৰ পৰা ফোন কৰা বুলি উল্লেখ…

ByByMahesh Malakar Apr 12, 2026

জাগীৰোডত ভয়ংকৰ দুৰ্ঘটনাত পতিত যাত্ৰীভৰ্তি ট্ৰেভেলাৰ

জাগীৰোডত ভয়ংকৰ দুৰ্ঘটনাত পতিত যাত্ৰীভৰ্তি ট্ৰেভেলাৰ গুৱাহাটীৰ পৰা তেজপুৰ অভিমুখী ট্ৰেভেলাৰৰ সৈতে ভুল দিশেৰে অহা ট্ৰাকৰ মুখামুখি সংঘৰ্ষ…

ByByMahesh Malakar Apr 12, 2026

ডিব্ৰুগড়ৰ চাউলখোৱাত ভ*য়ং*কৰ গু*লী*চা*ল*নাৰ ঘটনা

ডিব্ৰুগড়ৰ চাউলখোৱাত ভয়ংকৰ গুলীচালনাৰ ঘটনা দিন-দুপৰতে কোনে সংঘটিত কৰিলে ভয়ংকৰ কাণ্ড? দুৰ্বৃত্তৰ গুলীত আহত এজন লোক গুলীবিদ্ধ লোকজন…

ByByMahesh Malakar Apr 11, 2026
Scroll to Top